苹果测试工程师的日常
22:40 · 2024年4月17日 · 周三
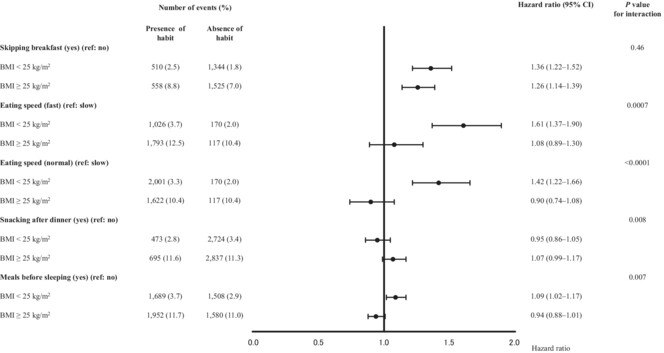
https://onlinelibrary.wiley.com/doi/10.1111/jdi.14207
不吃早饭是坏习惯,可能与二型糖尿病的发展相关
🥲
我这就改
😱
😱
😱
😱
😱
😱
😱
😱
😱
😱
😱
Wiley Online Library
Eating behaviors and incidence of type 2 diabetes in Japanese people: The population‐based Panasonic cohort study 15
Journal of Diabetes Investigation is a clinical and experimental diabetes research journal publishing basic science, clinical practice, and epidemiology in diabetes.
Home
Powered by
BroadcastChannel
&
Sepia